Teacher Portal:
Light
Investigation 4 – Lab

ZERO-IN
Italicized font represents information to be shared orally or physically completed with the students at this time.
The non-italicized font represents additional information included to support the teacher’s understanding of the content being introduced within the CELL.
MINDSET
This Investigation is designed to:
- promote student investigation of a fourth way in which light interacts with the medium, refraction,
- provide students an opportunity to explore the behavior of light waves as they enter and exit different mediums including air, water and oil,
- measure angles of incidence and angles of refraction and use Snell’s Law to calculate the index of refraction of various media, and
- help students understand the relationship between the index of refraction and the extent to which light is refracted by a medium.
BE PREPARED
Teacher Preparation for the Investigation includes the following. This preparation should be done prior to students arriving in the lab.
- Fill two-liter pitchers with 1000 ml of water.
- Fill two-liter pitchers with 1000 ml of oil.
- Place the materials at the distribution center.
- Divide the class into five cooperative groups.
Note: Each student lab group will need the materials listed below.
Student Preparation for the Investigation includes having students gather the following materials. This preparation takes place on lab day after student lab groups have settled at their assigned lab tables.
Note: The materials are listed in students’ SDRs. They are also listed below for your reference.
- (1) 400 ml beaker filled with 400 ml of water
- (1) 400 ml beaker filled with 400 ml of oil
- (1) 400 ml beaker, empty
- (4) straight pins
- (1) 6cm x 12cm piece of cardboard
- (1) acrylic semi-circle
- (1) refraction tank
- (1) protractor
- (1) glass slide
- (1) concave lens
- (1) convex lens
- (1) calculator
- (3) blank sheets of paper
- (1) metric ruler
Direct one student from each lab group to collect the materials listed in their SDRs.
INVESTIGATE
- Tell students they will investigate the refraction of light through three different mediums, determine the index of refraction for each medium, and observe any changes in the way in which objects appear when viewed through the medium. The three media they will investigate are an acrylic solid, water, and oil.
- Encourage students to reflect on the PreLab video as they move through the procedural steps.
- Explain to students that during the Experiment, every procedural step is important. If one step is skipped, data can become invalid. To help students keep on track, direct them to read each step thoroughly, complete the step, then check it off (Read it – Do it – Check it off).
- Direct students to complete the procedural steps in their SDRs.
Note: The procedural steps are listed below for your reference. Teacher “Notes” are inserted, as needed, to help facilitate the lab.
Trial 1: Refraction through an acrylic solid
- Place one piece of clean, white paper on the table.
- Make a tracing of your medium:
A. Place the acrylic semicircle in the center of the paper.
B. Trace the outline of the acrylic semicircle on the piece of paper. Your tracing should look like this:
![]()
- Use the ruler to draw an 8 cm line approximately 1/3 from the left side of the tracing. The line should be perpendicular to the long side of the tracing. Your diagram should look like this:

- Simulate a light ray entering the acrylic cylinder at an angle of 30° to the perpendicular line.
A. Use the protractor to measure a 30o angle from the perpendicular line. Place a dot at the 30o mark.
B. Draw a line from the intersection of the perpendicular line through the dot. Your diagram should look like this: 
C. Place the cardboard directly under your tracing.
D. Take two straight pins and place them along two points of the 30° line.
E. Place the pins approximately 1 cm from each end of the line. Insert them through the paper so they stick into the cardboard.
- Place the semicircle back into its outline.
- Lower yourself to eye level with the semicircle, so that the two straight pins are behind one another and they appear as one pin.
- Line up two more pins on the opposite side of the semicircle, so that all four pins appear to be in the same line. This simulates how a light wave travels from the air, through the semicircle, and back through the air to your eyes.
- Remove the semicircle from the diagram.
- What does the line formed by the pins look like? The line formed by the pins is a slightly bent line.
- Take out the four pins and remove the cardboard.
- Use a ruler to line up the two new pin holes.
- Draw a line that connects the two pins holes and intersects with the outline of the semicircle.
- Indicate on the diagram the light wave in the air and when it is in the acrylic semicircle. Your complete refraction diagram should appear similar to the diagram below:

- What do you think will happen when the two lines drawn outside of the medium are connected? Student answers may vary. The line that connects the two outside lines will appear to be “bent”.
- Return to your refraction diagram on the plain, white paper.
- Using a different colored pen or pencil, connect the two outer lines within the area inside the acrylic medium.
- What do you see? The line is bent.
- In order to calculate the index of refraction, you will need to determine the angle of incidence and the angle of refraction. Use the diagram you created for yourself on the blank piece of white paper.
- An example of a completed diagram is located below to help you with the procedure.
A. Label the perpendicular line drawn on the medium with a “P.”
B. Label the angle of incidence.
C. Use the protractor to measure the angle of incidence.
D. Use the different color pen to extend the line inside the medium out of the medium so that you can better determine the angle of refraction.
E. Label the angle of refraction.
F. Use the protractor to measure the angle.

- Calculate: Use the following formula to calculate the Index of Refraction (nr) of the acrylic semicircle:

- Record: Record your calculations in Table A below.
Trial 2: Refraction through water
1. Use the same procedure from before to approximate the index of refraction of water.
A. In order to determine the index of refraction of the water, fill the refraction tank halfway with water.
B. Although light is entering glass and the water, most of the refraction will be due to the water inside the refraction tank, rather than the glass.
2. Create the diagram of the refraction of light through water on a separate sheet of paper.
Note: Student diagrams will vary. A sample diagram is provided on the following page to help you with the procedure.

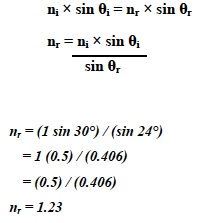
- Calculate: Use the following formula to calculate the Index of Refraction (nr) of the water:


- Record: Record your calculations in Table A below.
Trial 3: Refraction through oil
- Use the same procedure from before to approximate the index of refraction of oil.
A. In order to determine the index of refraction of the oil, fill the refraction tank halfway with oil.
B. Although light is entering glass and the oil, most of the refraction will be due to the oil inside the refraction tank, rather than the glass.
2. Create the diagram of the refraction of light through oil on a separate sheet of paper.
Note: Student diagrams will vary. A sample diagram is provided on the following page to help you with the procedure.

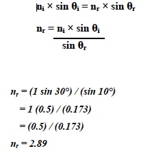
- Calculate: Use the following formula to calculate the Index of Refraction (nr) of the oil:


- Record: Record your calculations in Table A below.

Note: Questions 5-7 are included as part of the PostLab Analysis. They are also included here for reference.
- Which medium produced the greatest refraction of light? Use data to support your answer. Light was refracted the most as it passed from air in the oil, as oil had the highest index of refraction and the greatest difference in the index of refraction compared to air. The difference in refraction was also apparent by comparing the angle of refraction between the three mediums. The greatest change in the angle of incidence and the angle of refraction occurred in the oil as compared to the semicircle and water.
- How does the index of refraction affect the amount that light waves are bent or refracted? The greater the index of refraction the greater the refraction of light.
- When you observed the pins through the semicircle, the water, and the oil did they appear different than when viewed without the semicircle, water, and oil? Why? Student answers may vary. It is likely that students will have observed few, if any, visible signs of refraction when viewing the pins through the air as compared to viewing them through the semicircle, water, and oil.
- Is the refraction of light ever visible? Can you observe refraction more readily in some circumstances than others? Think about these questions and then compare how objects look through the rectangular refraction tank and acrylic semicircle to how objects appear through lenses.
- Compare a flat piece of glass with a curved piece:
A. Combine with another pair and obtain the following materials: 1 glass slide, 1 concave lens, and 1 convex lens.
B. Look at the following figure without and then through a glass slide. What do you observe? Student answers will vary. However, it is likely that students will indicate that the figure looks the same when viewed through the glass slide and without the glass slide.
C. Look at the figure in the previous question using the semicircle, concave, and convex lens.
D. How does the figure appear when viewed with and without the lenses and semicircle? The figure appeared larger when viewed through the convex lens, smaller when viewed through the concave lens, and larger when viewed through the curved portion of the semicircle. The figure did not appear different when viewed through the flat portion of the semicircle as compared to without the semicircle.
- Test for signs of refraction using a second method.
A. Place the glass slide on edge lengthwise along an invisible line connecting the letters A and B on the diagram.
B. Look at the lines on the left side of points A and B.
C. Look through the glass slide to the right side of points A and B.
D. Observe the lenses, glass slide, and semicircle. Feel each piece.
E. Repeat steps a through c with the concave and convex lenses.
F. What did you observe? In all cases, the lines appeared different on the right side of points A and B when viewed through the objects. When viewed through the flat piece of glass or plastic, the lines continued to appear straight but were not in line with those on the left side of the slide or semicircle. When viewed through the lenses, the lines appeared to curve.
CLEAN UP
Let students know your expectations for clean up. Ask them to clean up.